南宫集团加拿大28-ng相信品牌的力量-ng28相信品牌的力量-南宫28在线登录网页版-南宫28注册入口-南宫ng28注册平台入口-ng28娱乐注册入口官方-ng28电子游戏官网入口公司全屋净化技术在持久除甲醛及杀菌消毒方面的优越表现
肉眼看不见的室内有害气体如甲醛,危害极大的微生物如细菌以及类似武汉出现的新型冠状病毒让我们时刻处于危险之中,西安除甲醛公司-南宫集团加拿大28-ng相信品牌的力量-ng28相信品牌的力量-南宫28在线登录网页版-南宫28注册入口-南宫ng28注册平台入口-ng28娱乐注册入口官方-ng28电子游戏官网入口环保科技深入研究室内环境污染现场,独创性的开发出室内全屋净化净化技术,用以持久除甲醛和长效抗菌、杀菌消毒协同治理效应,在实际应用中取得理想成果。
公司室内全屋净化技术核心思想是,建立一种可持续的净化室内空气净化载体,并在该载体上嵌入长效抗菌技术,从而即解决了室内装修污染,又对室内空气中的细菌、病毒等进行全面消杀,使人居环境更加洁净健康。

南宫集团加拿大28-ng相信品牌的力量-ng28相信品牌的力量-南宫28在线登录网页版-南宫28注册入口-南宫ng28注册平台入口-ng28娱乐注册入口官方-ng28电子游戏官网入口公司使用的全屋环境净化技术包含纳米可视光触媒技术(长效抗菌)、AKACID杀菌消毒以及高分子双效触媒持久除甲醛三重技术,其实现原理是:
纳米可视光触媒技术:
光触媒除甲醛及抗菌优点
1、全面性:光触媒可以有效地分解甲醛、苯、甲苯、二甲苯、氨、TVOC等污染物,并具有高效广谱的消毒性能,能将细菌或真菌释放出的毒素分解及无害化处理。
2、持续性:在反应过程中,光触媒本身不会发生变化和损耗,在光的照射下可以持续不断的净化污染物,具有时间持久、持续作用的优点。
3、安全性:无毒、无害,对人体安全可靠;最终的反应产物为二氧化碳、水和其他无害物质,不会产生二次污染。
4、高效性:光触媒利用取之不尽的太阳能等光能就能将扩散了的环境污染物在低浓度状态下清除净化。

光触媒长效抗菌除甲醛原理
AKACID杀菌消毒技术
南宫集团加拿大28-ng相信品牌的力量-ng28相信品牌的力量-南宫28在线登录网页版-南宫28注册入口-南宫ng28注册平台入口-ng28娱乐注册入口官方-ng28电子游戏官网入口公司采用的杀菌消毒除味技术使用的是AKACID广谱抗菌消毒技术,是一种不同于84消毒液等含氯型的广谱消毒抗菌剂,实验证实,AKACID是一种呈正电性的高分子聚合物,具有很高的活性,可以吸附到呈负电性的有害微生物表面,通过细胞壁(或者包膜)扩散到细胞内部,与细胞质膜结合使其破裂,导致内容物流失,丧失活性,AKACID强大的聚合力可以长久紧紧包裹住有害微生物,堵塞其呼吸通道,抑制其分裂、繁殖,直至彻底窒息死亡。AKACID经测试能杀灭99.999%的细菌,是非常高效的消毒剂,AKACID的杀菌过程迅速且不产生任何有害物质,不影响杀菌环境中的其他任何无关成分,是安全无毒的杀菌剂,不依赖于微生物的形态和种类,所以微生物的变种和变异均不影响其药效的发挥,即使持续长期使用,药效也丝毫不会降低,无耐药性,无腐蚀性,有超长杀菌效果。

AKACID捕捉细菌病毒示意图
高分子双效触媒持久除甲醛
高分子双效触媒中的活性官能团与甲醛以共价键形式形成新的非挥发性无毒的高分子化合物。在室温条件下与甲醛接触即可完成反应。
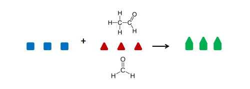
除醛净味双效除捕捉游离甲醛的反应方程式
如图所示,蓝色代表除醛净味双效活性官能团,红色代表醛基,绿色代表最终聚合生成的无毒非挥发性的高分子化合物。
实验证实,按照S99001(捕捉剂/醛比例为2)方法检测双效捕捉甲醛效果,在25°C,16小时候记录数据,1g立美净除醛净味双效触媒可以有效捕捉144mg的游离甲醛,双效除醛净味触媒拥有优良的去除甲醛能力,不仅如此,实验还证实,立美净除醛净味双效触媒对乙醛,异丁醛,甲乙酮,邻苯二甲酸二乙酯等VOC
同样有捕捉效果。所以,该产品不仅可以去除甲醛,还可以大幅度去除VOC异味。

其最终产物高分子化合物本身又可以在甲醛释放通道留存并阻隔甲醛的挥发释放,形成可以长效除甲醛机制。
在病毒广泛传播、室内空气污染日益加重的今天,选择全面、深入的空气净化技术将起到事半功倍的效果。西安除甲醛公司-南宫集团加拿大28-ng相信品牌的力量-ng28相信品牌的力量-南宫28在线登录网页版-南宫28注册入口-南宫ng28注册平台入口-ng28娱乐注册入口官方-ng28电子游戏官网入口环保独创的全屋环境净化技术在长达6年的除甲醛服务中积累了丰富的应用案例,效果显著。
- 上一篇:西安正规除甲醛公司哪家好?上门考察不失为一种判定方法 2020/2/5
- 下一篇:我公司生产的立美净广谱除味剂可对武汉新型冠状病毒进行有效消杀 2020/1/30

4001280558 


